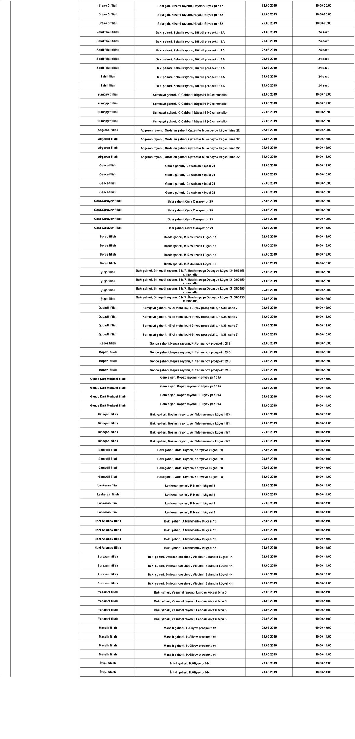
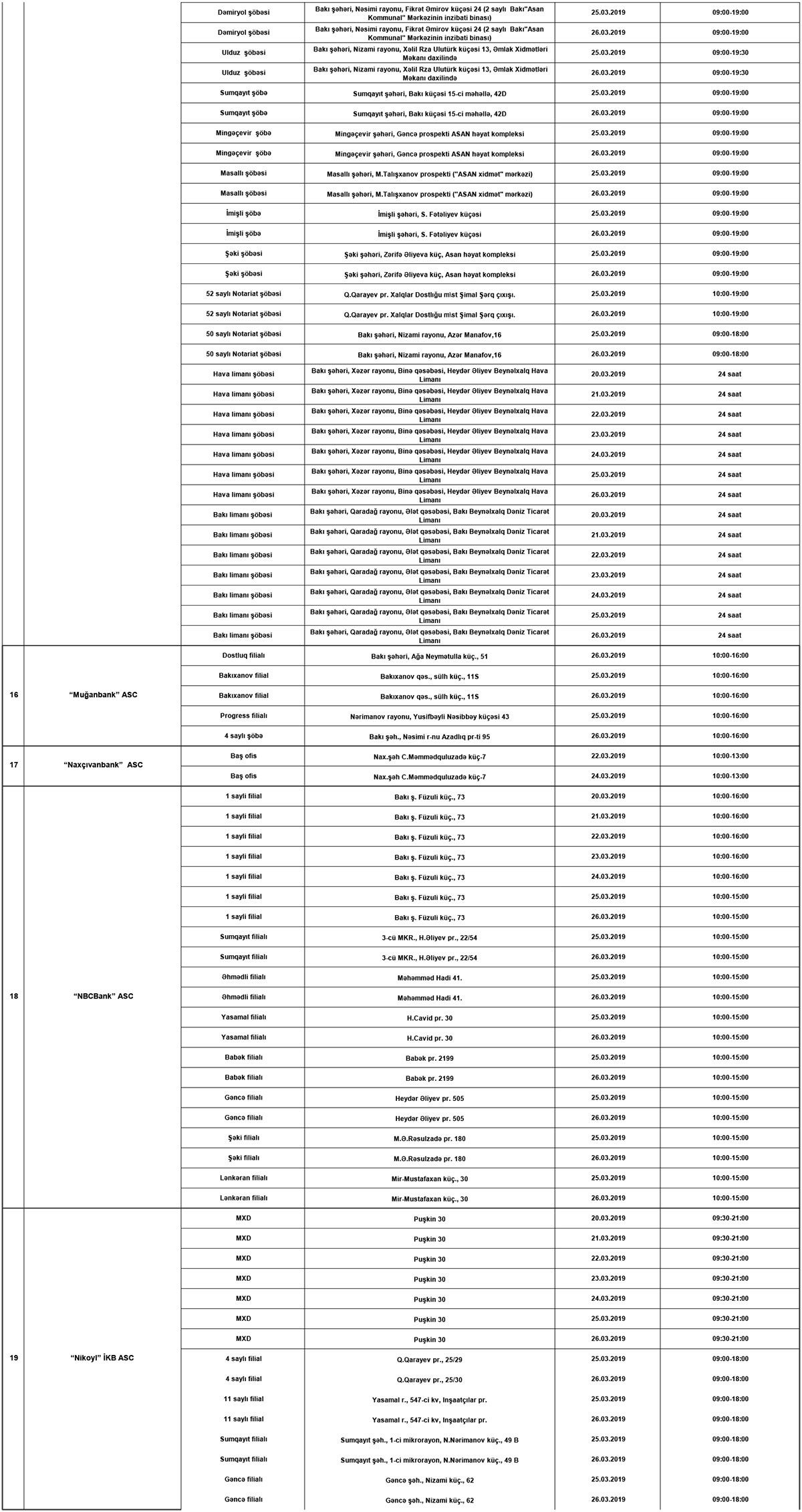
24 bankın 152 filial və şöbəsi gücləndirilmiş iş rejimində çalışacaq - SİYAHI
Ölkə əhalisinin və çoxsaylı turistlərin Novruz bayramı ilə əlaqədar qeyri-iş günləri ərzində bank xidmətlərindən rahat faydalanmasının təmin edilməsi məqsədilə 24 bankın 152 filial və şöbəsi gücləndirilmiş iş rejimində çalışacaq.
Bu barədə "Marja" Maliyyə Bazarlarına Nəzarət Palatasından bildirilib.
Bayram günləri ərzində ölkəmizə əhəmiyyətli turist axınının olacağını nəzərə alaraq onların valyuta mübadiləsi əməliyyatlarını rahat həyata keçirə bilmələri üçün Maliyyə Bazarlarına Nəzarət Palatası paytaxtda və əsas turizm bölgələrində yerləşən bankların filial və şöbələrinə gücləndirilmiş iş rejimində çalışmağı tövsiyə edib.
5 bankın Sumqayıt, Xırdalan, Gəncə, Lənkəran, Şəki, Xaçmaz, Quba, Bərdə, Naxçıvan və digər şəhərlərdə yerləşən 46 filial və şöbəsi müştərilərə xidmət göstərəcək.
Bakıda yerləşən 8 bankın 13 filial və şöbəsi 24/7 rejimində fəaliyyət göstərəcək.
Bundan əlavə, bayram günlərində Palatanın əməkdaşlarından ibarət xüsusi monitorinq qrupu fəaliyyət göstərəcək. Yarana biləcək hər hansı bir problemlə bağlı maliyyə xidmətləri istehlakçıları Palatada yaradılmış qaynar xəttə müraciət edə bilərlər:
Koordinator:
Azər Quluyev
Tel: 493-50-58 (dax:357);
Mob: +994 70 908 62 21
Mail: [email protected]
20-26 mart tarixlərində çalışacaq bank filial və şöbələrinin siyahısı və ünvanları
Müştərilərin xəbərləri
“Qarabağdan Silikon Vadisinə” adlı yeni startap proqramı elan olunur - 50 MİN DOLLARADƏK DƏSTƏK VERİLƏCƏK
Kapital Bank-ın İdarə Heyətinə yeni təyinat - Bankın ödənişlər biznesinə və PashaPay-ə rəhbərlik edəcək
Azercell-in dəstəyi ilə fəaliyyət göstərən “Uşaq Qaynar Xətti”nə 2025-ci ildə 5500-dən çox müraciət daxil olub
SON XƏBƏRLƏR
- 1 ay sonra
- 1 həftə sonra
-
27 d. əvvəl
Tarixin ən böyük birja çöküşü qapıdadır: “Hazırlıqlı olan daha da varlanacaq”
-
-
31 d. əvvəl
Unibank sahibkarlar üçün mikro kredit kampaniyasını davam etdirir
-
40 d. əvvəl
Yanvarda xurma Azərbaycana 22 milyon dollar, alma 8 milyon dollar gəlir gətirib
-
48 d. əvvəl
Nestle-dən ixtisar qərarı: İki il ərzində 16 min nəfər işdən çıxarılacaq
-
53 d. əvvəl
Azərbaycanda halal turizmə aid yeni dövlət standartı qəbul olunacaq
- 2 saat əvvəl
-
2 saat əvvəl
“Beneva” şirkətinin bioloji aktiv qida məhsulu tələblərə cavab vermədiyindən məhv edilib
- 3 saat əvvəl
- 3 saat əvvəl
-
4 saat əvvəl
Yeni Bakı-Laçın reysi fəaliyyətə başlayır - Gedişhaqqı 16,10 AZN müəyyən edilib
Son Xəbərlər
Azərbaycanda Vakansiyalar - Azvak.az
Kriptovalyuta ticarəti kursu
Unibank sahibkarlar üçün mikro kredit kampaniyasını davam etdirir
Rusiya şirkətinə məxsus palma yağı Azərbaycanda satışa buraxılmadı, məhv edilməsi barədə qərar qəbul edildi
Fevralın 20-də gözlənilən hava şəraiti
Ən çox oxunanlar
“Qarabağdan Silikon Vadisinə” adlı yeni startap proqramı elan olunur - 50 MİN DOLLARADƏK DƏSTƏK VERİLƏCƏK
Kapital Bank-ın İdarə Heyətinə yeni təyinat - Bankın ödənişlər biznesinə və PashaPay-ə rəhbərlik edəcək
12 bankın xalis mənfəəti azalıb
“AFB Bank”da iclas keçiriləcək
2 səhmdar paylarını Nicat Həsənova bağışlayıblar - Lombard şirkəti tam nəzarətinə keçib
























