Azərbaycanın mebel şirkətinin satışı kəskin artıb, 102 milyon manatdan çox gəlir əldə edib
1996-cı ildə əsası qoyulmuş və mebellərin istehsalı ilə məşğul olan "Embawood" şirkəti 2024-cü ili 2 milyon 281 min manat xalis mənfəət ilə başa vurub. Halbuki, Şirkət 2023-cü ili 434 min manat xalis mənfəət ilə bağlamışdı. Beləliklə, "Embawood" şirkətinin xalis mənfəəti 2024-cü ildə 2023-cü illə müqayisədə 1 milyon 847 min manat və ya 5,2 dəfə artıb.
Marja.az xəbər verir ki, "Embawood" şirkətinin satışdan gəlirləri 2023-cü ildə 59 milyon 726 min manat ikən, 2024-cü ildə 102 milyon 430 min manata yüksəlib (42 milyon 704 min manat və ya 71,5% artıb).
Ötən il "Embawood" şirkətinin cəmi əməliyyat gəlirləri 102 milyon 436 min manat cəmi əməliyyat xərcləri 99 milyon 585 min manat, əməliyyat mənəəti 2 milyon 851 min manat təşkil edib. Şirkət 2024-cü ildə 570 min manat mənfəət vergisi ödəyib.
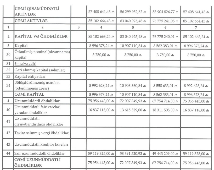
31 dekabr 2024-cü il tarixində "Embawood" şirkəti 83 milyon 41 min manat cəmi aktivlərə malik olub. Şirkət 2023-cü ilin sonunda 85 milyon 102 min manat cəmi aktivlərə malik idi.
Müştərilərin xəbərləri
Birmarket-in böyük lotereyası yekunlaşdı: Sea Breeze-dən mənzil və Avatr 07 Pro avtomobil sahiblərini tapdı
SON XƏBƏRLƏR
- 2 ay sonra
- 2 həftə sonra
- 3 gün sonra
-
-
1 saat əvvəl
247 biznesə “Startap” şəhadətnaməsi verilib - Mənfəət və ya gəlir vergisindən 3 il azaddırlar
- 1 saat əvvəl
- 1 saat əvvəl
- 1 saat əvvəl
-
2 saat əvvəl
Neft Fondu: Qlobal maliyyə bazarlarındakı tendensiyalar bizə müsbət təsir edib
- 2 saat əvvəl
-
2 saat əvvəl
Karton və qutu taralarının istehsalı müəssisəsinin açılışı oldu
-
2 saat əvvəl
6 milyon manatlıq güzgü vərəqələrin istehsalı zavodunun açılışı oldu - 30 nəfər işlə təmin olunub
-
3 saat əvvəl
Kredit təşkilatına illik 16 faizlə 1 milyon manat borca pul lazımdır - ŞƏRTLƏR
Son Xəbərlər
Azərbaycanda Vakansiyalar - Azvak.az
2026-cı ildən sıfır xərclə ticarətə başlayın
Pulunuz gəlir gətirsin – illik 12% artım
“SİMA KYC” ilə hüquqi şəxs hesabını banka getmədən aç!
İnvestisiyadan 6,9 milyard manat qazanıb – 6,2% gəlirlilik
Ən çox oxunanlar
Karton və qutu taralarının istehsalı müəssisəsinin açılışı oldu
6 milyon manatlıq güzgü vərəqələrin istehsalı zavodunun açılışı oldu - 30 nəfər işlə təmin olunub
Azərbaycanın mebel şirkətinin satışı kəskin artıb, 102 milyon manatdan çox gəlir əldə edib
Azərbaycan neftinin son qiyməti
2 BOKT-ın vəzifəli şəxsi cərimələnib
Azərbaycan fondu üçün "qızıl il" - 37,6 milyard gəlir əldə etdiyini açıqladı: BÖYÜKLÜYÜ 125 MİLYARD MANATI KEÇİB










.jpg)









