Depozitlərdə dollarlaşma aşağı düşür
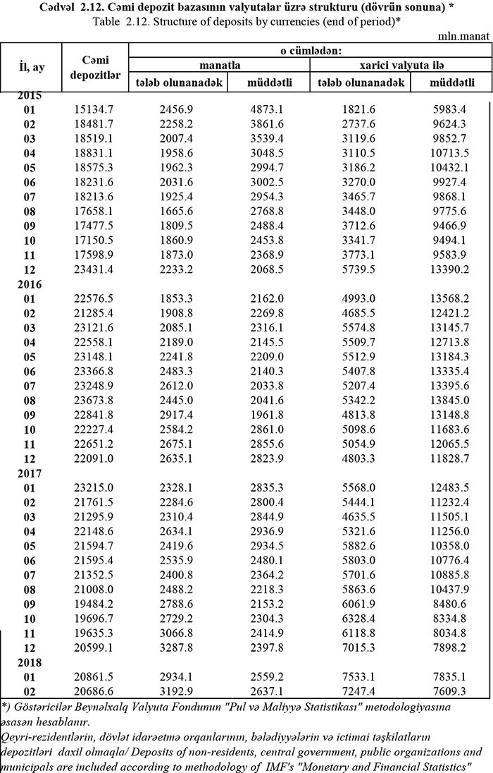
2018-ci ilin Fevral ayının sonuna banklarda cəmi depozitlər 20 milyard 686.6 milyon manat təşkil edib.
"Marja" Mərkəzi Bankın statistikasına istinadən xəbər verir ki, depozitərin 5 milyard 830 milyon manatı və ya 28,2%-i milli valyutada, 14 milyard 856,7 milyon manatı və ya 71,8%-i xarici valyutada olub.
Yanvar ayında bu nisbətlər müvafiq olaraq 26,3% və 73,7% təşkil etmişdi.
Müştərilərin xəbərləri
Türkiyə, Gürcüstan, Özbəkistan kimi ölkələrə gedənlərin nəzərinə: gözlənilməz xərclərə hazırlıqlı olun!
İtalyan keyfiyyəti Azərbaycan tarlalarında: “Prime Leasing” və “Landini” əməkdaşlığında yeni mərhələ
SON XƏBƏRLƏR
- 1 ay sonra
- 1 həftə sonra
- 6 gün sonra
-
-
29 d. əvvəl
İtalyan keyfiyyəti Azərbaycan tarlalarında: “Prime Leasing” və “Landini” əməkdaşlığında yeni mərhələ
-
41 d. əvvəl
Qubada ilk: Regional Biznes Sammiti və Regional Expo - QEYDİYYAT DAVAM EDİR
- 50 d. əvvəl
- 52 d. əvvəl
- 1 saat əvvəl
-
1 saat əvvəl
BYD -nin ixracında rekord - İxracı 135 min ədədi keçərək tarixində ən yüksək səviyyə qeydə alınıb
- 1 saat əvvəl
- 2 saat əvvəl
- 2 saat əvvəl
Son Xəbərlər
Azvak.az-da yeni iş elanları
Türkiyə, Gürcüstan, Özbəkistan kimi ölkələrə gedənlərin nəzərinə: gözlənilməz xərclərə hazırlıqlı olun!
55 manatdan bank səhmdarı olmaq fürsəti: SON 8 GÜN
Mərkəzi Bank sabah saat 10:00-da qərarını açıqlayacaq
Rəsmi məzənnələr açıqlandı
BYD -nin ixracında rekord - İxracı 135 min ədədi keçərək tarixində ən yüksək səviyyə qeydə alınıb
Ən çox oxunanlar
Gəncədə zavodda baş verən yanğın tam söndürülüb
"Dövlət Neft Fondu son bir neçə il ərzində İtaliya iqtisadiyyatına təxminən 3 milyard dollar sərmayə qoyub"
Trampdan İrana Hörmüz təhdidi: "Yer üzündən silərik"
İran Hörmüzdə yeni nəzarət zonası müəyyən edib
Tramp: İran Hörmüzdən keçən Cənubi Koreya gəmisinə hücum edib, biz də 7 İran qayığını batırdıq
Əliyev və Meloni mətbuata bəyanatlarla çıxış ediblər
“Qarabağda və Şərqi Zəngəzurda İtaliya şirkətləri 23 layihə həyata keçirib və keçirir”
“Bizim üçün İtaliya bazarı həm neft, həm qaz üçün birinci dərəcəli əhəmiyyət daşıyır”






.jpg)
.jpg)









.jpg)




